全体教师:
现代教育技术中心建设哈医大统一身份认证系统,完成对数字化校园身份的统一认证和统一管理,逐步实现全校师生通过一套用户名和密码登录校园各种应用系统,满足“单点登录”的需求,为全校师生提供更加安全、方便、快捷的服务。统一身份认证系统上线一年多以来,已经与上网认证、网上服务大厅、教务系统、学工系统、科研系统、VPN、智慧教室、企业微信等多个系统完成对接,学校其他系统也在陆续接入中。
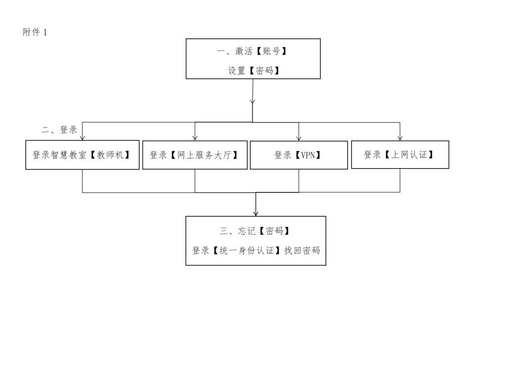
但是还有部分师生对其使用不太熟悉,统一身份认证系统的使用主要有激活、登录、找回密码等几个步骤。具体操作内容说明如下,流程图见附件1。
一、激活【账号】
在浏览器中输入统一身份认证网址:https://authserver.hrbmu.edu.cn/authserver,进入统一身份认证登录界面,点击账号激活按钮。

按界面提示填写学工号、姓名、身份证号,并设置登录密码。

二、登录
1.登录【智慧教室教师机】
点击电脑屏幕中密码登录按钮,进入登录界面,输入工号和密码(激活统一身份认证时设置的密码)。


2.登录【网上服务大厅】
在浏览器中输入网址https://ehall.hrbmu.edu.cn/EIP/,进入网上服务大厅界面。点击界面右上角登录按钮,跳转到登录界面,输入学工号和密码(激活统一身份认证时设置的密码)。
3.登录【VPN】
具体使用方法及注意事项说明点击链接查看:https://xjzx.hrbmu.edu.cn/info/1084/1163.htm
4.登录【上网认证】
点击学校主页右上角的上网认证,进进入上网实名认证系统登录页面,输入学工号和密码(激活统一身份认证时设置的密码),登录成功之后就可以正常上网了。

三、找回【密码】
在浏览器中输入统一身份认证网址:https://authserver.hrbmu.edu.cn/authserver,进入统一身份认证登录界面。点击下方忘记密码按钮,通过手机短信找回密码。


如遇到其他问题,请联系现代教育技术中心,联系电话:86651058。
